Maharashtra Board Class 9th Geometry Co-ordinate Geometry Solutions

Welcome to Maharashtra Board Class 9th Geometry Co-ordinate Geometry Solutions at MaharashtraBoardSolutions. We provide free access to detailed, step-by-step solutions for the Co-ordinate Geometry chapter of Geometry subject, prescribed by the Maharashtra State Board of Secondary and Higher Secondary Education (MSBSHSE) for Class 9th students.

Maharashtra Board Class 9th Geometry Co-ordinate Geometry Solutions

View the following solutions for Maharashtra Board Class 9th Geometry Co-ordinate Geometry. These solutions are available for viewing online.

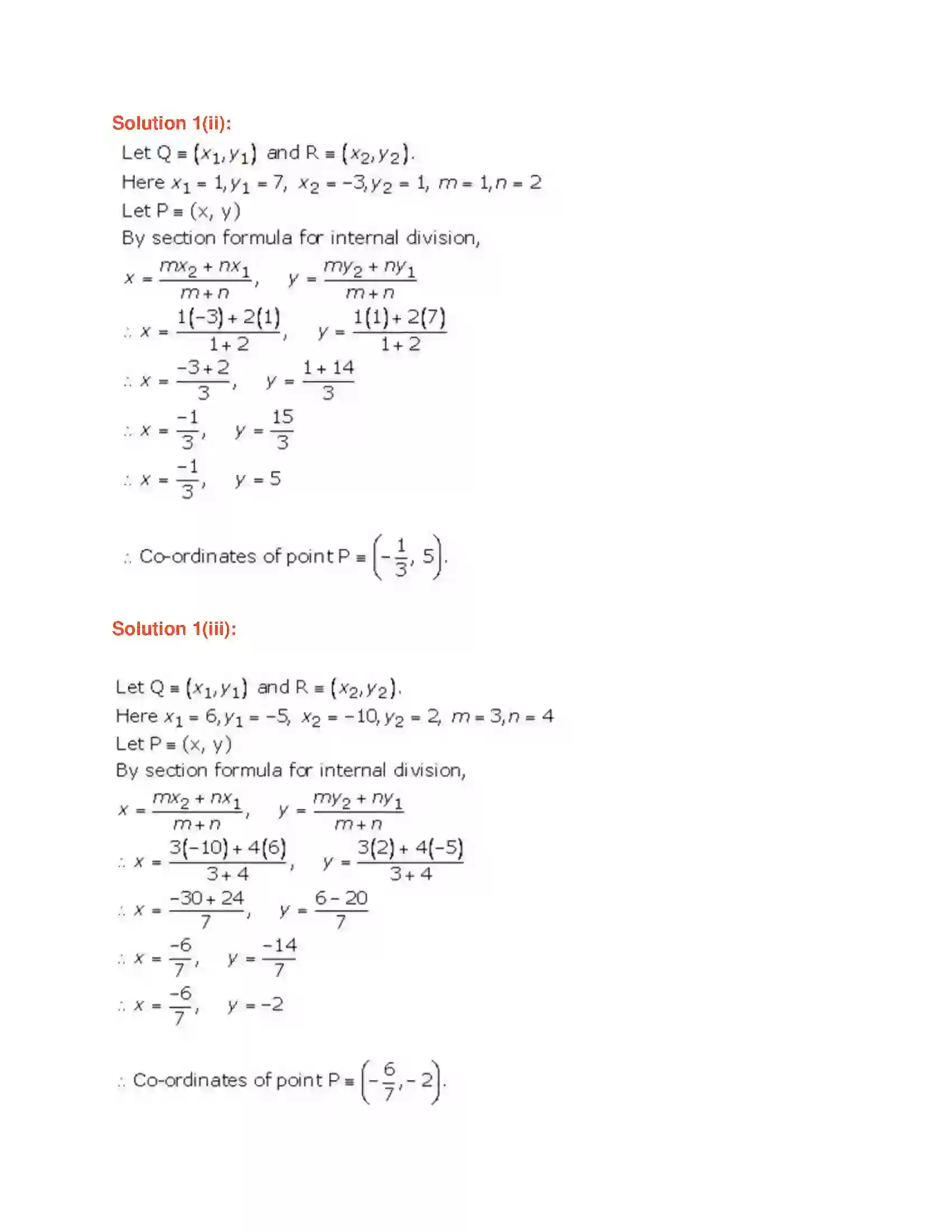
Maharashtra Board Class 9th Geometry Co-ordinate Geometry Solution 1
https://maharashtraboardsolutionss.com
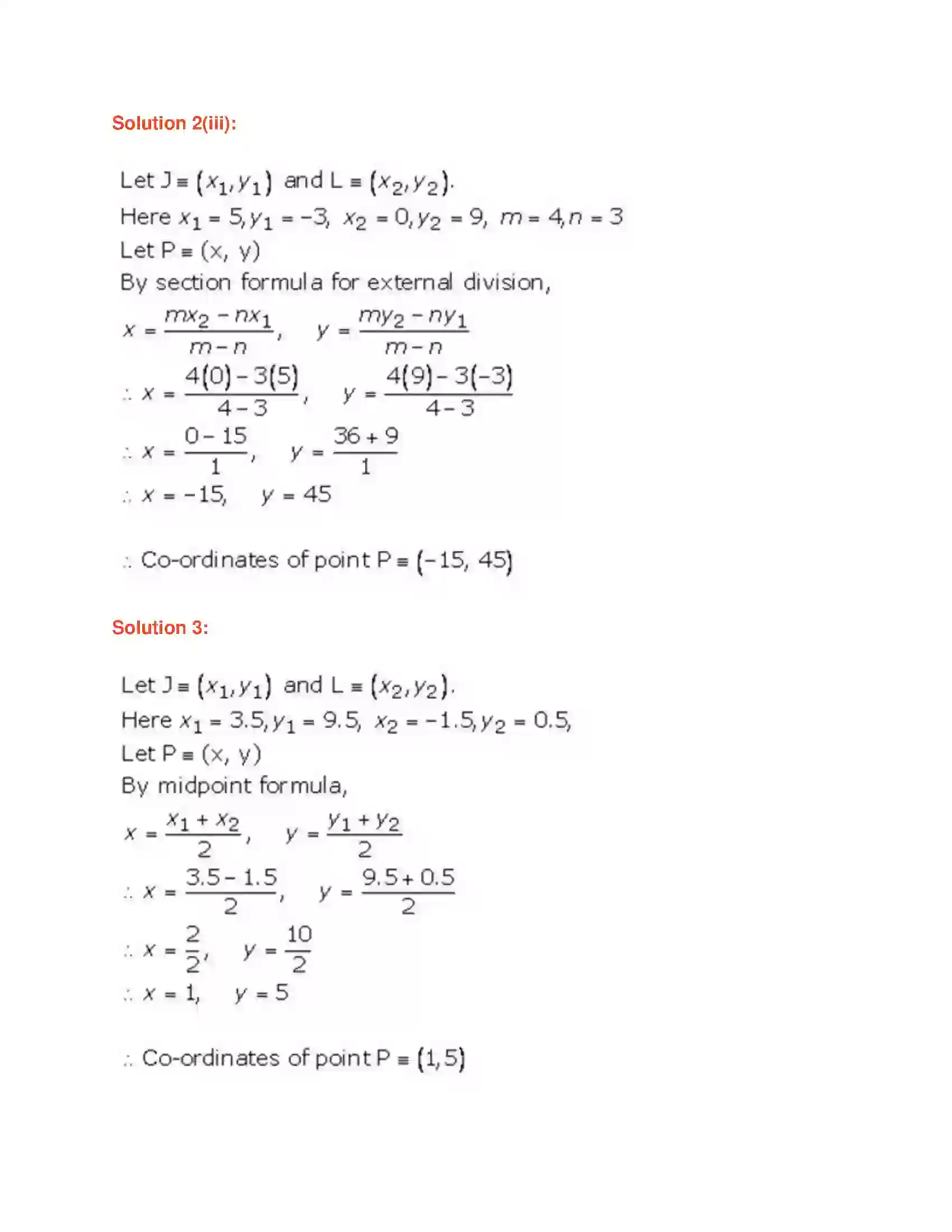
Maharashtra Board Class 9th Geometry Co-ordinate Geometry Solution 2
https://maharashtraboardsolutionss.com
Maharashtra Board Class 9th Geometry Co-ordinate Geometry Solution 3
https://maharashtraboardsolutionss.com
Maharashtra Board Class 9th Geometry Co-ordinate Geometry Solution 4
https://maharashtraboardsolutionss.com
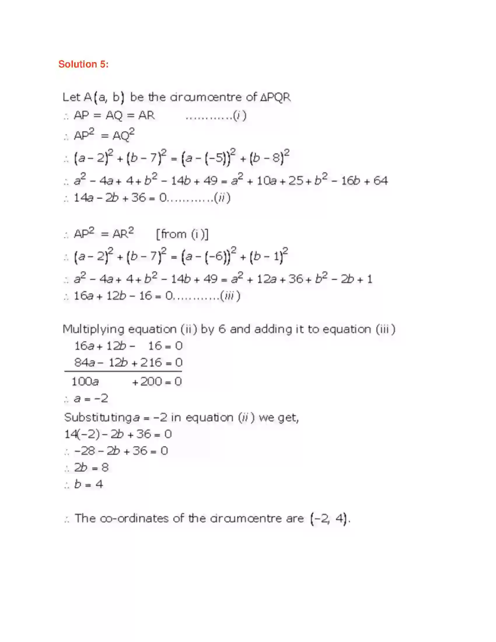
Maharashtra Board Class 9th Geometry Co-ordinate Geometry Solution 5
https://maharashtraboardsolutionss.com
Maharashtra Board Class 9th Geometry Co-ordinate Geometry Solution 6
https://maharashtraboardsolutionss.com
Maharashtra Board Class 9th Geometry Co-ordinate Geometry Solution 7
https://maharashtraboardsolutionss.com
Maharashtra Board Class 9th Geometry Co-ordinate Geometry Solution 8
https://maharashtraboardsolutionss.com
Maharashtra Board Class 9th Geometry Co-ordinate Geometry Solution 9
https://maharashtraboardsolutionss.com
Maharashtra Board Class 9th Geometry Co-ordinate Geometry Solution 10
https://maharashtraboardsolutionss.com
Maharashtra Board Class 9th Geometry Co-ordinate Geometry Solution 11
https://maharashtraboardsolutionss.com
Maharashtra Board Class 9th Geometry Co-ordinate Geometry Solution 12
https://maharashtraboardsolutionss.com

Our Maharashtra Board Class 9th Geometry Co-ordinate Geometry Solutions section provides clear, step-by-step answers for textbook questions in the Co-ordinate Geometry chapter. These solutions help students understand concepts better and learn the correct way to write answers in exams.

Prepared in simple language and exam-oriented format, the solutions cover all topics in the Co-ordinate Geometry chapter. Whether you are revising at home or checking your practice work, Maharashtra Board Solutions help you learn accurately and prepare with confidence.

All Maharashtra Board Class 9th Geometry Co-ordinate Geometry Solutions available on our platform can be viewed completely free of cost. There's no registration required, no payment needed, and no hidden charges.

Other Chapters of Geometry

Browse other chapters of Maharashtra Board Class 9th Geometry Solutions. Click on any chapter below to view its content.

Continue Your Maharashtra Board Class 9th Geometry Exam Preparation

Continue your exam preparation by exploring other chapters and resources. Combine these solutions with our other resources like Maharashtra Board Books, Previous Year Papers, and Revision Notes for comprehensive preparation.

If you have any questions or need assistance, contact us for help. We're here to help you succeed.