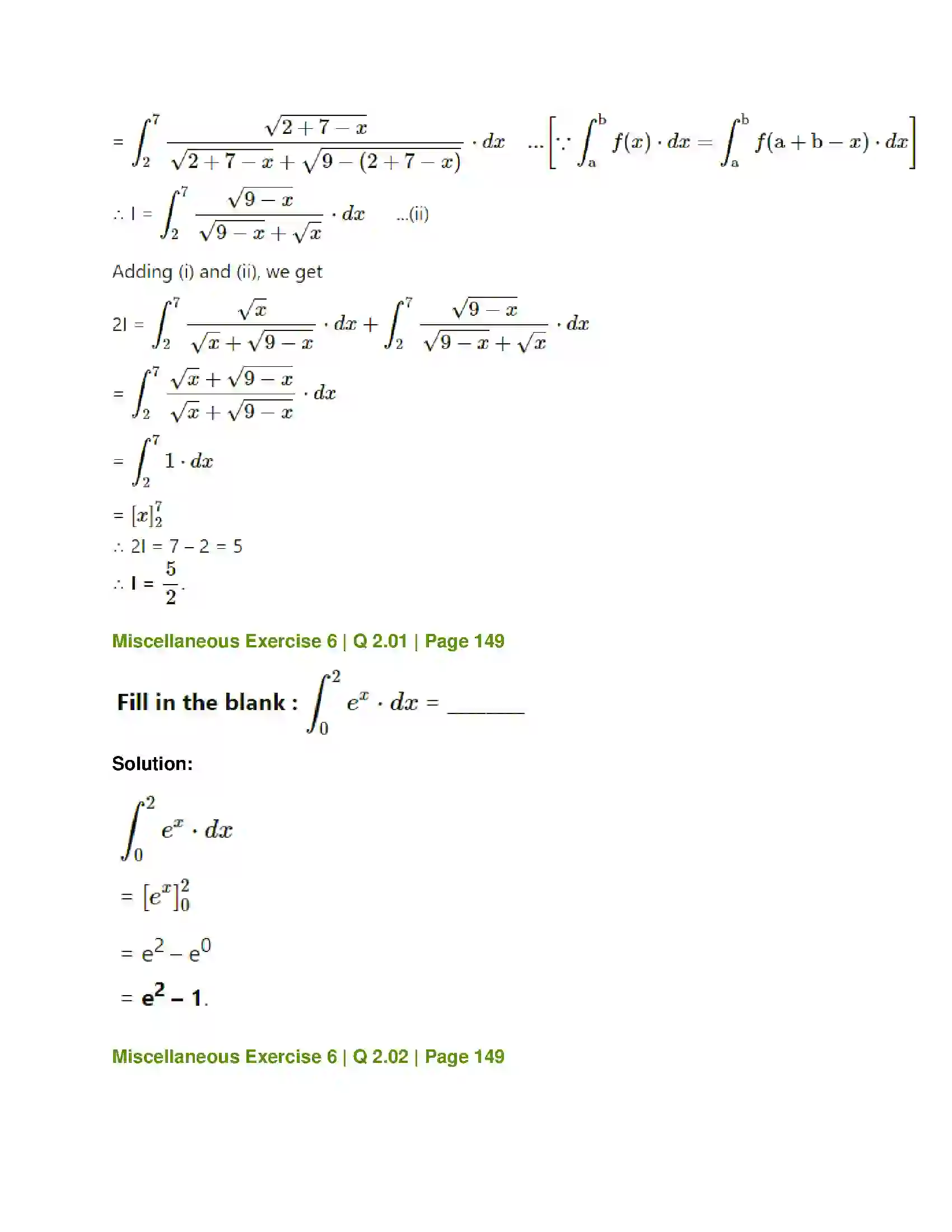
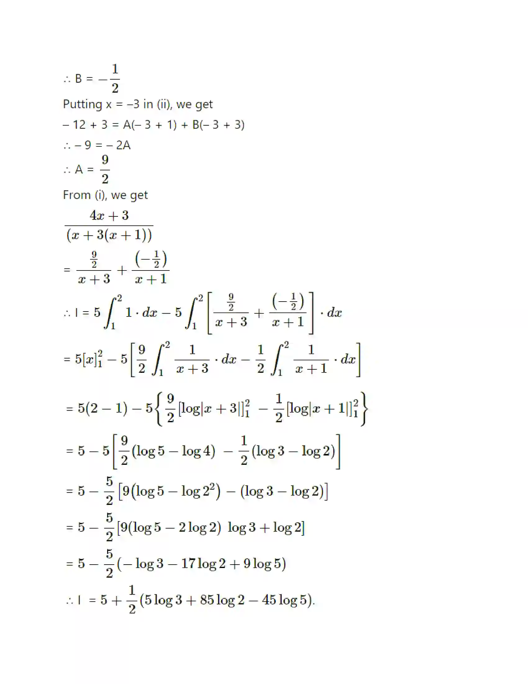
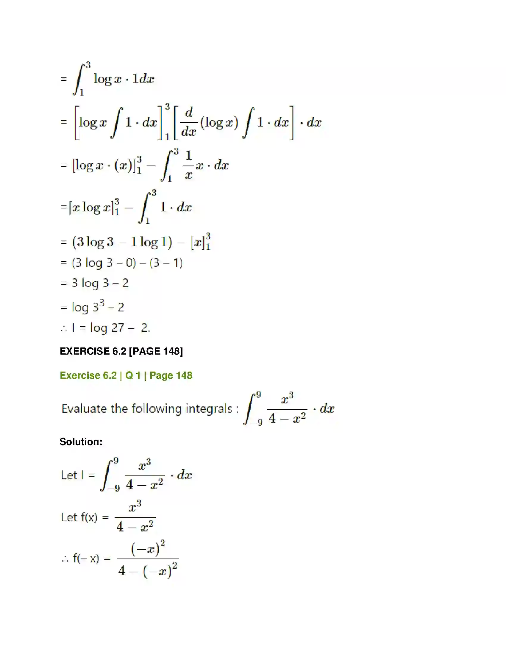
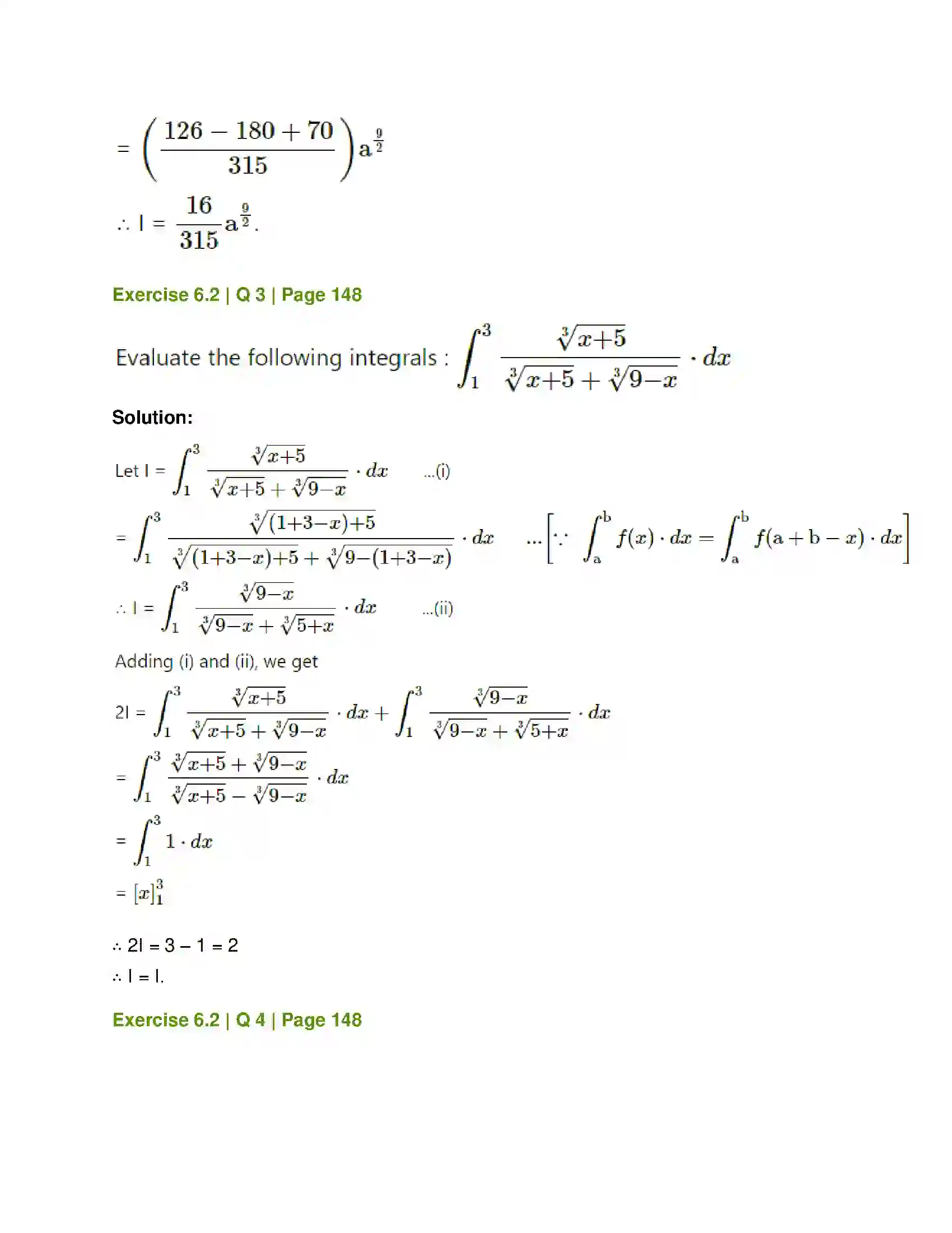
Maharashtra Board Class 12th Mathematics & Statistics-1 (Commerce) Definite Integration Solutions

Welcome to Maharashtra Board Class 12th Mathematics & Statistics-1 (Commerce) Definite Integration Solutions at MaharashtraBoardSolutions. We provide free access to detailed, step-by-step solutions for the Definite Integration chapter of Mathematics & Statistics-1 (Commerce) subject, prescribed by the Maharashtra State Board of Secondary and Higher Secondary Education (MSBSHSE) for Class 12th students.

Maharashtra Board Class 12th Mathematics & Statistics-1 (Commerce) Definite Integration Solutions

View the following solutions for Maharashtra Board Class 12th Mathematics & Statistics-1 (Commerce) Definite Integration. These solutions are available for viewing online.

Maharashtra Board Class 12th Mathematics & Statistics-1 (Commerce) Definite Integration Solution 1
https://maharashtraboardsolutionss.com
Maharashtra Board Class 12th Mathematics & Statistics-1 (Commerce) Definite Integration Solution 2
https://maharashtraboardsolutionss.com
Maharashtra Board Class 12th Mathematics & Statistics-1 (Commerce) Definite Integration Solution 3
https://maharashtraboardsolutionss.com
Maharashtra Board Class 12th Mathematics & Statistics-1 (Commerce) Definite Integration Solution 4
https://maharashtraboardsolutionss.com
Maharashtra Board Class 12th Mathematics & Statistics-1 (Commerce) Definite Integration Solution 5
https://maharashtraboardsolutionss.com
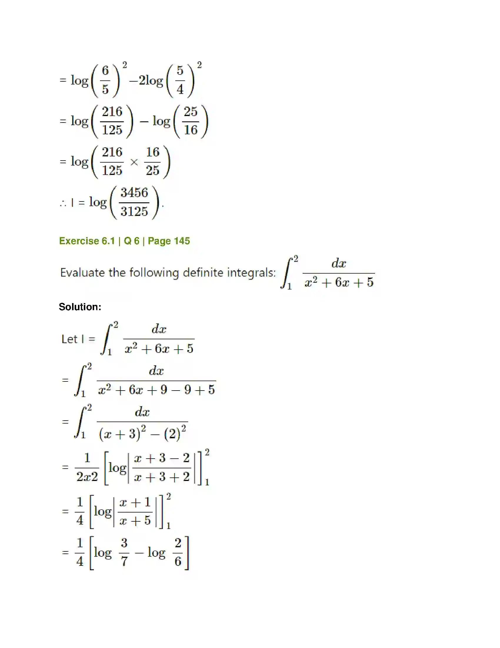
Maharashtra Board Class 12th Mathematics & Statistics-1 (Commerce) Definite Integration Solution 6
https://maharashtraboardsolutionss.com
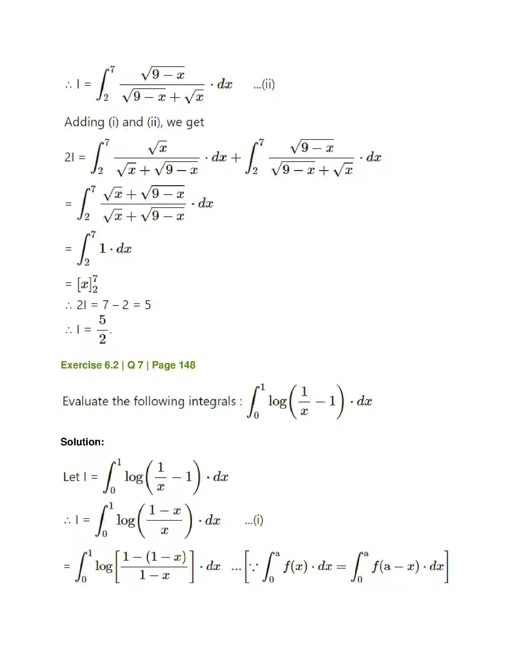
Maharashtra Board Class 12th Mathematics & Statistics-1 (Commerce) Definite Integration Solution 7
https://maharashtraboardsolutionss.com
Maharashtra Board Class 12th Mathematics & Statistics-1 (Commerce) Definite Integration Solution 8
https://maharashtraboardsolutionss.com
Maharashtra Board Class 12th Mathematics & Statistics-1 (Commerce) Definite Integration Solution 9
https://maharashtraboardsolutionss.com
Maharashtra Board Class 12th Mathematics & Statistics-1 (Commerce) Definite Integration Solution 10
https://maharashtraboardsolutionss.com
Maharashtra Board Class 12th Mathematics & Statistics-1 (Commerce) Definite Integration Solution 11
https://maharashtraboardsolutionss.com
Maharashtra Board Class 12th Mathematics & Statistics-1 (Commerce) Definite Integration Solution 12
https://maharashtraboardsolutionss.com
Maharashtra Board Class 12th Mathematics & Statistics-1 (Commerce) Definite Integration Solution 13
https://maharashtraboardsolutionss.com
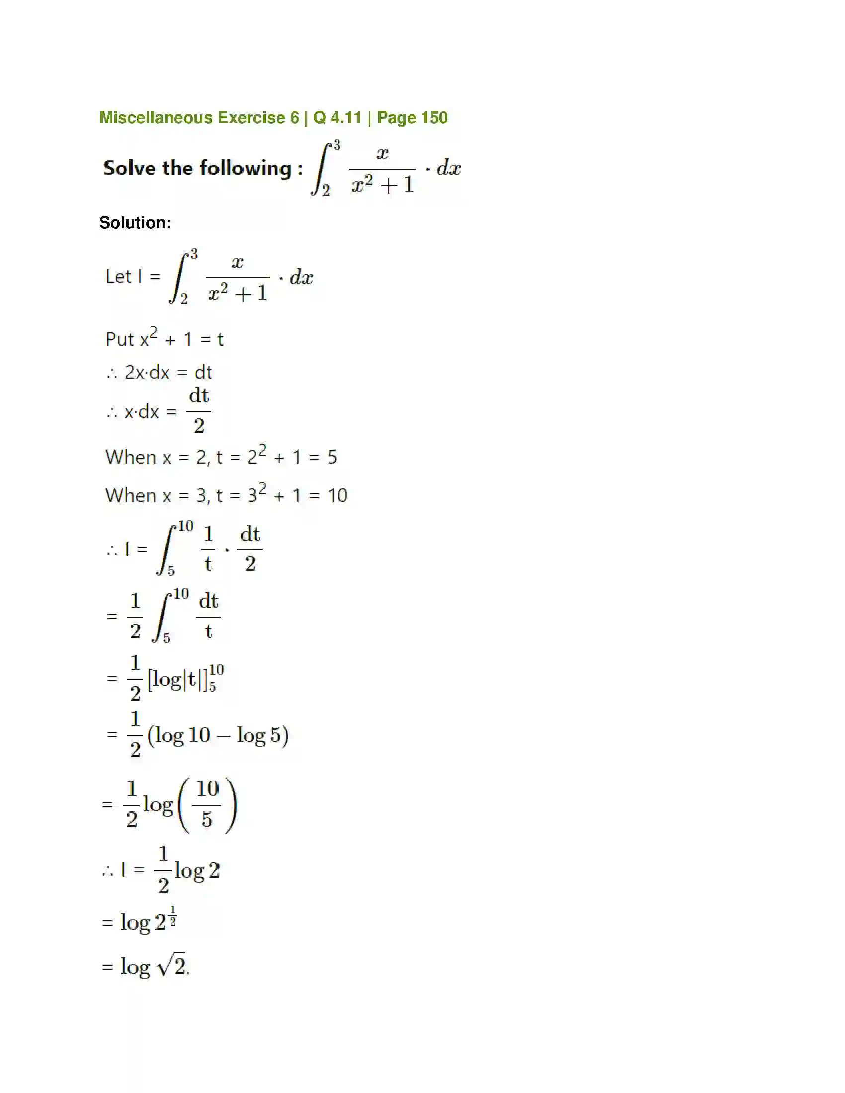
Maharashtra Board Class 12th Mathematics & Statistics-1 (Commerce) Definite Integration Solution 14
https://maharashtraboardsolutionss.com
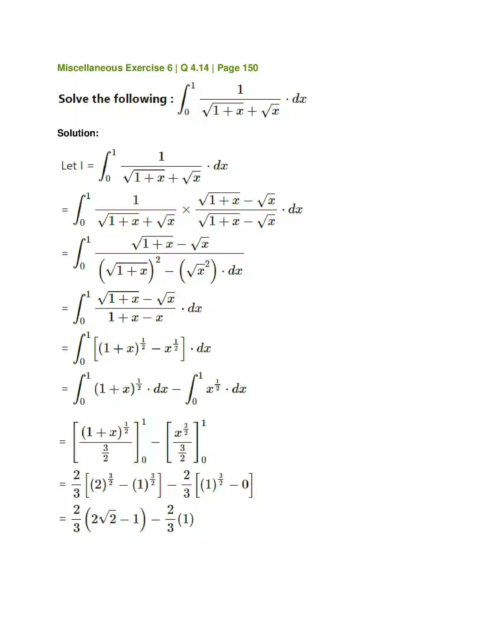
Maharashtra Board Class 12th Mathematics & Statistics-1 (Commerce) Definite Integration Solution 15
https://maharashtraboardsolutionss.com
Maharashtra Board Class 12th Mathematics & Statistics-1 (Commerce) Definite Integration Solution 16
https://maharashtraboardsolutionss.com
Maharashtra Board Class 12th Mathematics & Statistics-1 (Commerce) Definite Integration Solution 17
https://maharashtraboardsolutionss.com
Maharashtra Board Class 12th Mathematics & Statistics-1 (Commerce) Definite Integration Solution 18
https://maharashtraboardsolutionss.com
Maharashtra Board Class 12th Mathematics & Statistics-1 (Commerce) Definite Integration Solution 19
https://maharashtraboardsolutionss.com
Maharashtra Board Class 12th Mathematics & Statistics-1 (Commerce) Definite Integration Solution 20
https://maharashtraboardsolutionss.com
Maharashtra Board Class 12th Mathematics & Statistics-1 (Commerce) Definite Integration Solution 21
https://maharashtraboardsolutionss.com
Maharashtra Board Class 12th Mathematics & Statistics-1 (Commerce) Definite Integration Solution 22
https://maharashtraboardsolutionss.com
Maharashtra Board Class 12th Mathematics & Statistics-1 (Commerce) Definite Integration Solution 23
https://maharashtraboardsolutionss.com
Maharashtra Board Class 12th Mathematics & Statistics-1 (Commerce) Definite Integration Solution 24
https://maharashtraboardsolutionss.com
Maharashtra Board Class 12th Mathematics & Statistics-1 (Commerce) Definite Integration Solution 25
https://maharashtraboardsolutionss.com
Maharashtra Board Class 12th Mathematics & Statistics-1 (Commerce) Definite Integration Solution 26
https://maharashtraboardsolutionss.com
Maharashtra Board Class 12th Mathematics & Statistics-1 (Commerce) Definite Integration Solution 27
https://maharashtraboardsolutionss.com
Maharashtra Board Class 12th Mathematics & Statistics-1 (Commerce) Definite Integration Solution 28
https://maharashtraboardsolutionss.com
Maharashtra Board Class 12th Mathematics & Statistics-1 (Commerce) Definite Integration Solution 29
https://maharashtraboardsolutionss.com
Maharashtra Board Class 12th Mathematics & Statistics-1 (Commerce) Definite Integration Solution 30
https://maharashtraboardsolutionss.com
Maharashtra Board Class 12th Mathematics & Statistics-1 (Commerce) Definite Integration Solution 31
https://maharashtraboardsolutionss.com
Maharashtra Board Class 12th Mathematics & Statistics-1 (Commerce) Definite Integration Solution 32
https://maharashtraboardsolutionss.com
Maharashtra Board Class 12th Mathematics & Statistics-1 (Commerce) Definite Integration Solution 33
https://maharashtraboardsolutionss.com
Maharashtra Board Class 12th Mathematics & Statistics-1 (Commerce) Definite Integration Solution 34
https://maharashtraboardsolutionss.com
Maharashtra Board Class 12th Mathematics & Statistics-1 (Commerce) Definite Integration Solution 35
https://maharashtraboardsolutionss.com
Maharashtra Board Class 12th Mathematics & Statistics-1 (Commerce) Definite Integration Solution 36
https://maharashtraboardsolutionss.com
Maharashtra Board Class 12th Mathematics & Statistics-1 (Commerce) Definite Integration Solution 37
https://maharashtraboardsolutionss.com
Maharashtra Board Class 12th Mathematics & Statistics-1 (Commerce) Definite Integration Solution 38
https://maharashtraboardsolutionss.com
Maharashtra Board Class 12th Mathematics & Statistics-1 (Commerce) Definite Integration Solution 39
https://maharashtraboardsolutionss.com
Maharashtra Board Class 12th Mathematics & Statistics-1 (Commerce) Definite Integration Solution 40
https://maharashtraboardsolutionss.com
Maharashtra Board Class 12th Mathematics & Statistics-1 (Commerce) Definite Integration Solution 41
https://maharashtraboardsolutionss.com
Maharashtra Board Class 12th Mathematics & Statistics-1 (Commerce) Definite Integration Solution 42
https://maharashtraboardsolutionss.com
Maharashtra Board Class 12th Mathematics & Statistics-1 (Commerce) Definite Integration Solution 43
https://maharashtraboardsolutionss.com
Maharashtra Board Class 12th Mathematics & Statistics-1 (Commerce) Definite Integration Solution 44
https://maharashtraboardsolutionss.com
Maharashtra Board Class 12th Mathematics & Statistics-1 (Commerce) Definite Integration Solution 45
https://maharashtraboardsolutionss.com
Maharashtra Board Class 12th Mathematics & Statistics-1 (Commerce) Definite Integration Solution 46
https://maharashtraboardsolutionss.com
Maharashtra Board Class 12th Mathematics & Statistics-1 (Commerce) Definite Integration Solution 47
https://maharashtraboardsolutionss.com
Maharashtra Board Class 12th Mathematics & Statistics-1 (Commerce) Definite Integration Solution 48
https://maharashtraboardsolutionss.com
Maharashtra Board Class 12th Mathematics & Statistics-1 (Commerce) Definite Integration Solution 49
https://maharashtraboardsolutionss.com
Maharashtra Board Class 12th Mathematics & Statistics-1 (Commerce) Definite Integration Solution 50
https://maharashtraboardsolutionss.com
Maharashtra Board Class 12th Mathematics & Statistics-1 (Commerce) Definite Integration Solution 51
https://maharashtraboardsolutionss.com
Maharashtra Board Class 12th Mathematics & Statistics-1 (Commerce) Definite Integration Solution 52
https://maharashtraboardsolutionss.com

Our Maharashtra Board Class 12th Mathematics & Statistics-1 (Commerce) Definite Integration Solutions section provides clear, step-by-step answers for textbook questions in the Definite Integration chapter. These solutions help students understand concepts better and learn the correct way to write answers in exams.

Prepared in simple language and exam-oriented format, the solutions cover all topics in the Definite Integration chapter. Whether you are revising at home or checking your practice work, Maharashtra Board Solutions help you learn accurately and prepare with confidence.

All Maharashtra Board Class 12th Mathematics & Statistics-1 (Commerce) Definite Integration Solutions available on our platform can be viewed completely free of cost. There's no registration required, no payment needed, and no hidden charges.

Other Chapters of Mathematics & Statistics-1 (Commerce)

Browse other chapters of Maharashtra Board Class 12th Mathematics & Statistics-1 (Commerce) Solutions. Click on any chapter below to view its content.

Continue Your Maharashtra Board Class 12th Mathematics & Statistics-1 (Commerce) Exam Preparation

Continue your exam preparation by exploring other chapters and resources. Combine these solutions with our other resources like Maharashtra Board Books, Previous Year Papers, and Revision Notes for comprehensive preparation.

If you have any questions or need assistance, contact us for help. We're here to help you succeed.