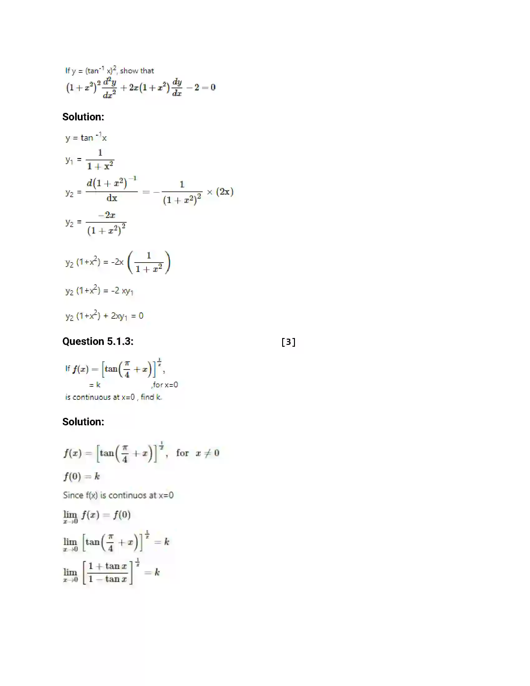
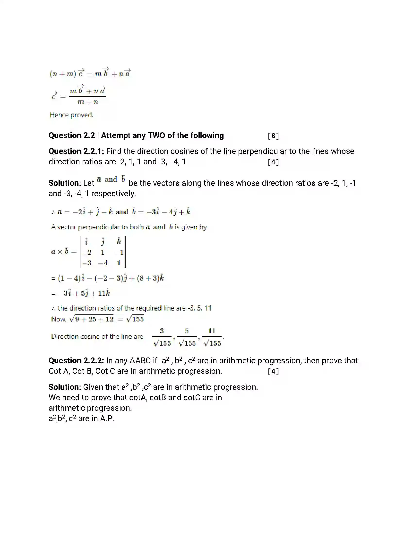
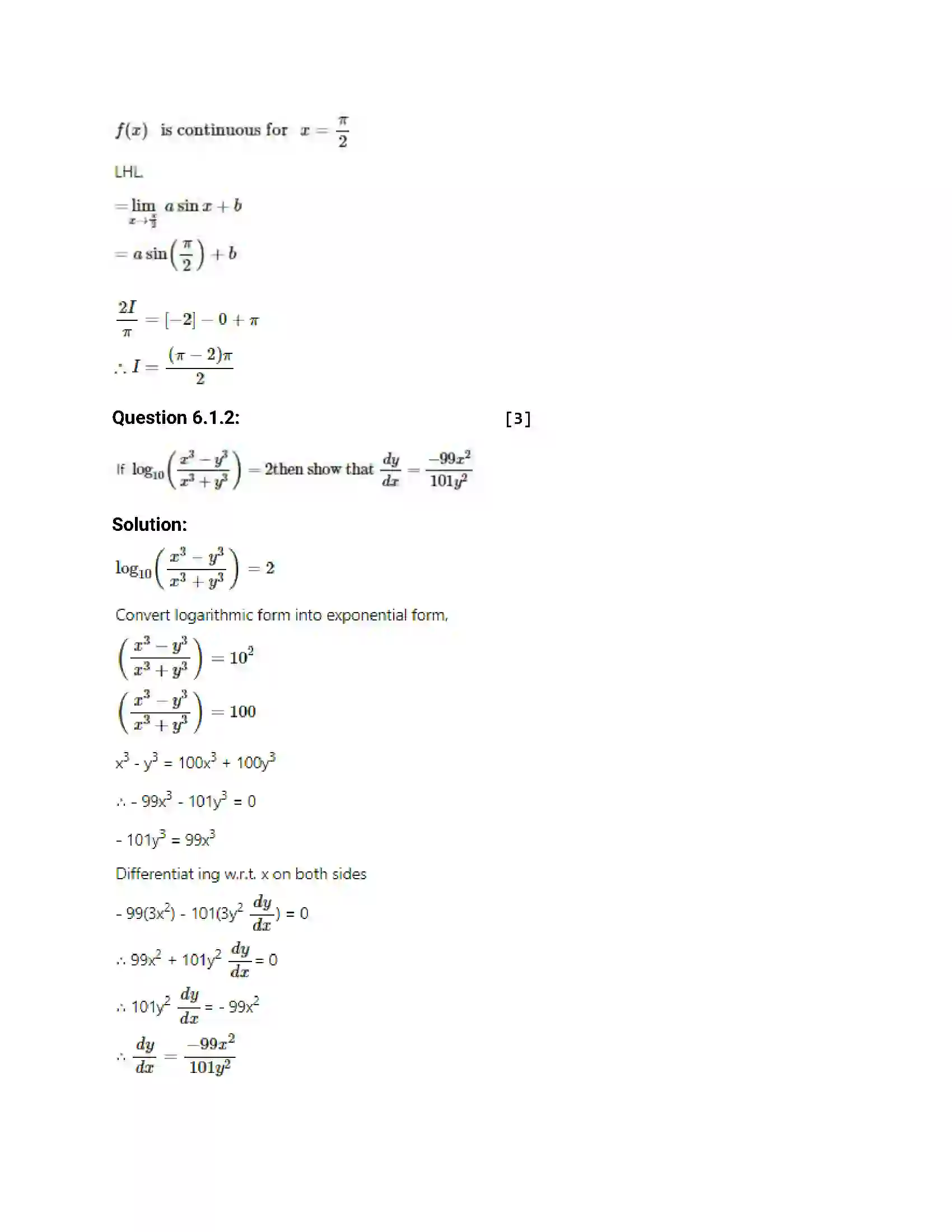
Maharashtra Board Class 12th 2015 Mathematics & Statistics - March 2015 Previous Year Papers

Welcome to Maharashtra Board Class 12th 2015 Mathematics & Statistics - March 2015 Previous Year Question Papers at MaharashtraBoardSolutions. We provide free access to real exam papers from 2015 for Mathematics & Statistics - March 2015 subject, helping students understand the actual Maharashtra State Board of Secondary and Higher Secondary Education (MSBSHSE) exam pattern.

Maharashtra Board Class 12th 2015 Mathematics & Statistics - March 2015 Previous Year Papers

View the following previous year papers for Maharashtra Board Class 12th 2015 Mathematics & Statistics - March 2015. These papers are available for viewing online.

Maharashtra Board Class 12th 2015 Mathematics & Statistics - March 2015 Previous Year Paper 1
https://maharashtraboardsolutionss.com
Maharashtra Board Class 12th 2015 Mathematics & Statistics - March 2015 Previous Year Paper 2
https://maharashtraboardsolutionss.com
Maharashtra Board Class 12th 2015 Mathematics & Statistics - March 2015 Previous Year Paper 3
https://maharashtraboardsolutionss.com
Maharashtra Board Class 12th 2015 Mathematics & Statistics - March 2015 Previous Year Paper 4
https://maharashtraboardsolutionss.com
Maharashtra Board Class 12th 2015 Mathematics & Statistics - March 2015 Previous Year Paper 5
https://maharashtraboardsolutionss.com
Maharashtra Board Class 12th 2015 Mathematics & Statistics - March 2015 Previous Year Paper 6
https://maharashtraboardsolutionss.com
Maharashtra Board Class 12th 2015 Mathematics & Statistics - March 2015 Previous Year Paper 7
https://maharashtraboardsolutionss.com
Maharashtra Board Class 12th 2015 Mathematics & Statistics - March 2015 Previous Year Paper 8
https://maharashtraboardsolutionss.com
Maharashtra Board Class 12th 2015 Mathematics & Statistics - March 2015 Previous Year Paper 9
https://maharashtraboardsolutionss.com
Maharashtra Board Class 12th 2015 Mathematics & Statistics - March 2015 Previous Year Paper 10
https://maharashtraboardsolutionss.com
Maharashtra Board Class 12th 2015 Mathematics & Statistics - March 2015 Previous Year Paper 11
https://maharashtraboardsolutionss.com
Maharashtra Board Class 12th 2015 Mathematics & Statistics - March 2015 Previous Year Paper 12
https://maharashtraboardsolutionss.com
Maharashtra Board Class 12th 2015 Mathematics & Statistics - March 2015 Previous Year Paper 13
https://maharashtraboardsolutionss.com
Maharashtra Board Class 12th 2015 Mathematics & Statistics - March 2015 Previous Year Paper 14
https://maharashtraboardsolutionss.com
Maharashtra Board Class 12th 2015 Mathematics & Statistics - March 2015 Previous Year Paper 15
https://maharashtraboardsolutionss.com
Maharashtra Board Class 12th 2015 Mathematics & Statistics - March 2015 Previous Year Paper 16
https://maharashtraboardsolutionss.com
Maharashtra Board Class 12th 2015 Mathematics & Statistics - March 2015 Previous Year Paper 17
https://maharashtraboardsolutionss.com
Maharashtra Board Class 12th 2015 Mathematics & Statistics - March 2015 Previous Year Paper 18
https://maharashtraboardsolutionss.com
Maharashtra Board Class 12th 2015 Mathematics & Statistics - March 2015 Previous Year Paper 19
https://maharashtraboardsolutionss.com
Maharashtra Board Class 12th 2015 Mathematics & Statistics - March 2015 Previous Year Paper 20
https://maharashtraboardsolutionss.com
Maharashtra Board Class 12th 2015 Mathematics & Statistics - March 2015 Previous Year Paper 21
https://maharashtraboardsolutionss.com
Maharashtra Board Class 12th 2015 Mathematics & Statistics - March 2015 Previous Year Paper 22
https://maharashtraboardsolutionss.com
Maharashtra Board Class 12th 2015 Mathematics & Statistics - March 2015 Previous Year Paper 23
https://maharashtraboardsolutionss.com
Maharashtra Board Class 12th 2015 Mathematics & Statistics - March 2015 Previous Year Paper 24
https://maharashtraboardsolutionss.com
Maharashtra Board Class 12th 2015 Mathematics & Statistics - March 2015 Previous Year Paper 25
https://maharashtraboardsolutionss.com
Maharashtra Board Class 12th 2015 Mathematics & Statistics - March 2015 Previous Year Paper 26
https://maharashtraboardsolutionss.com
Maharashtra Board Class 12th 2015 Mathematics & Statistics - March 2015 Previous Year Paper 27
https://maharashtraboardsolutionss.com
Maharashtra Board Class 12th 2015 Mathematics & Statistics - March 2015 Previous Year Paper 28
https://maharashtraboardsolutionss.com
Maharashtra Board Class 12th 2015 Mathematics & Statistics - March 2015 Previous Year Paper 29
https://maharashtraboardsolutionss.com
Maharashtra Board Class 12th 2015 Mathematics & Statistics - March 2015 Previous Year Paper 30
https://maharashtraboardsolutionss.com
Maharashtra Board Class 12th 2015 Mathematics & Statistics - March 2015 Previous Year Paper 31
https://maharashtraboardsolutionss.com
Maharashtra Board Class 12th 2015 Mathematics & Statistics - March 2015 Previous Year Paper 32
https://maharashtraboardsolutionss.com

Our Maharashtra Board Class 12th 2015 Mathematics & Statistics - March 2015 Previous Year Question Papers section gives students access to real exam papers from 2015 for Mathematics & Statistics - March 2015 subject. Practicing these papers allows students to identify important topics, recurring questions, and the level of difficulty expected in the exam.

These question papers support effective revision, improve time management, and build exam confidence. All materials are available for viewing completely free of cost.

Other Subjects of 2015

Browse other subjects of Maharashtra Board Class 12th 2015 Previous Year Papers. Click on any subject below to view its content.

Continue Your Maharashtra Board Class 12th Exam Preparation

Continue your exam preparation by exploring other resources. Combine these papers with our other resources like Maharashtra Board Books, Solutions, and Revision Notes for comprehensive preparation.

If you have any questions or need assistance, contact us for help. We're here to help you succeed.