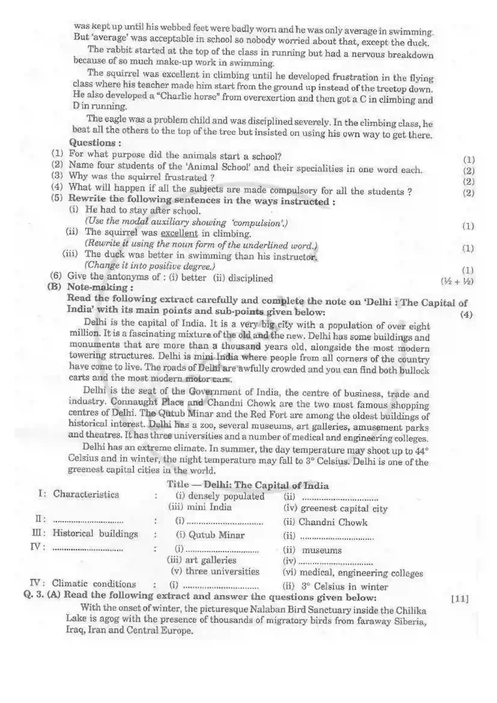
Maharashtra Board Class 12th 2014 English - Oct 2014 - Set-A Previous Year Papers

Welcome to Maharashtra Board Class 12th 2014 English - Oct 2014 - Set-A Previous Year Question Papers at MaharashtraBoardSolutions. We provide free access to real exam papers from 2014 for English - Oct 2014 - Set-A subject, helping students understand the actual Maharashtra State Board of Secondary and Higher Secondary Education (MSBSHSE) exam pattern.

Maharashtra Board Class 12th 2014 English - Oct 2014 - Set-A Previous Year Papers

View the following previous year papers for Maharashtra Board Class 12th 2014 English - Oct 2014 - Set-A. These papers are available for viewing online.

Maharashtra Board Class 12th 2014 English - Oct 2014 - Set-A Previous Year Paper 1
https://maharashtraboardsolutionss.com
Maharashtra Board Class 12th 2014 English - Oct 2014 - Set-A Previous Year Paper 2
https://maharashtraboardsolutionss.com
Maharashtra Board Class 12th 2014 English - Oct 2014 - Set-A Previous Year Paper 3
https://maharashtraboardsolutionss.com
Maharashtra Board Class 12th 2014 English - Oct 2014 - Set-A Previous Year Paper 4
https://maharashtraboardsolutionss.com
Maharashtra Board Class 12th 2014 English - Oct 2014 - Set-A Previous Year Paper 5
https://maharashtraboardsolutionss.com
Maharashtra Board Class 12th 2014 English - Oct 2014 - Set-A Previous Year Paper 6
https://maharashtraboardsolutionss.com

Our Maharashtra Board Class 12th 2014 English - Oct 2014 - Set-A Previous Year Question Papers section gives students access to real exam papers from 2014 for English - Oct 2014 - Set-A subject. Practicing these papers allows students to identify important topics, recurring questions, and the level of difficulty expected in the exam.

These question papers support effective revision, improve time management, and build exam confidence. All materials are available for viewing completely free of cost.

Other Subjects of 2014

Browse other subjects of Maharashtra Board Class 12th 2014 Previous Year Papers. Click on any subject below to view its content.

Continue Your Maharashtra Board Class 12th Exam Preparation

Continue your exam preparation by exploring other resources. Combine these papers with our other resources like Maharashtra Board Books, Solutions, and Revision Notes for comprehensive preparation.

If you have any questions or need assistance, contact us for help. We're here to help you succeed.